
Department of Surgery, College of Medicine, The Catholic University of Korea, Seoul, Korea
Division of Colorectal Surgery, Seoul St. Mary’s Hospital, College of Medicine, The Catholic University of Korea, Seoul, Korea
Division of Trauma and Surgical Critical Care, Department of Surgery, Seoul St. Mary’s Hospital, College of Medicine, The Catholic University of Korea, Seoul, Korea
Copyright: © The Korean Society of Surgical Metabolism and Nutrition
This is an open access article distributed under the terms of the Creative Commons Attribution Non-Commercial License (http://creativecommons.org/licenses/by-nc/4.0) which permits unrestricted non-commercial use, distribution, and reproduction in any medium, provided the original work is properly cited.
| Variables | N (%, range) | 
|---|---|
| Demographic characteristics | |
| Age (year) | 60.7±4 | 
| Sex | |
| Male/Female | 75/44 (63.0/37.0) | 
| BMI (kg/m2) | 24.2±4 | 
| Diagnosis | |
| Upper GI | 38 (31.9) | 
| Lower GI | 12 (10.1) | 
| Non-GI | 69 (58.0) | 
| APACHE II* | 12.5±4.9 | 
| ASA class† | |
| I | 10 (8.4) | 
| II | 72 (60.5) | 
| III | 35 (29.4) | 
| IV | 2 (1.7) | 
| Charlson morbidity index | 5.5±2.7 | 
| SGA‡ | |
| A | 73 (61.3) | 
| B | 35 (29.4) | 
| C | 11 (9.2) | 
| SOFA§ | 3.8±2.7 | 
| Modified NUTRIC∥ | 3.3±1.3 | 
| Ventilator status | |
| No/Yes | 103/16 (86.6/13.4) | 
| Dialysis status | |
| No/Yes | 103/16 (86.6/13.4) | 
| Type of surgery | |
| Upper GI | 38 (31.9) | 
| Lower GI | 10 (8.4) | 
| Non-GI | 71 (59.7) | 
| Intraoperative variables | |
| Intraoperative transfusion (cc) | 1172.1±2181.9 | 
| Estimated blood loss (cc) | 1562.5±3067 | 
| Operative time (min) | 48.2±200.3 | 
| Laboratory variables | |
| Total protein (g/dL) | 4.9±0.9 (3~7) | 
| Albumin (g/dL) | 2.9±0.6 (2~4) | 
| Prealbumin (mg/dL) | 15.6±5.4 (7~30) | 
| Transferrin (mg/dL) | 154.8±45.9 (62~285) | 
| Total cholesterol (mg/dL) | 124.8±45.5 (27~258) | 
| Triglyceride (mg/dL) | 93.5±67.3 (12~389) | 
| HDL-cholesterol (mg/dL) | 32.13±13.7 (4~76) | 
| LDL-cholesterol (mg/dL) | 69.5±29.9 (7~158) | 
| WBC count (109/L) | 14±6.4 (2~36) | 
| Lymphocytes (%) | 9.1±7.1 (1~40) | 
| Total lymphocyte count (/μL) | 1166.2±1063.4 (79.3~7268.2) | 
| Neutrophil-lymphocyte ratio | 17.7±24.5 (1.2~218.8) | 
| Clinical outcomes | |
| Length of ICU stay (day) | 5.77±6.84 | 
| Length of hospital stay (day) | 26.35±23.00 | 
| Postoperative complication | |
| No/Yes | 77/42 (64.7/35.3) | 
| Hospital morbidity rate | |
| No/Yes | 96/23 (80.7/19.3) | 
| 28-Day hospital mortality | |
| No/Yes | 114/5 (95.8/4.2) | 
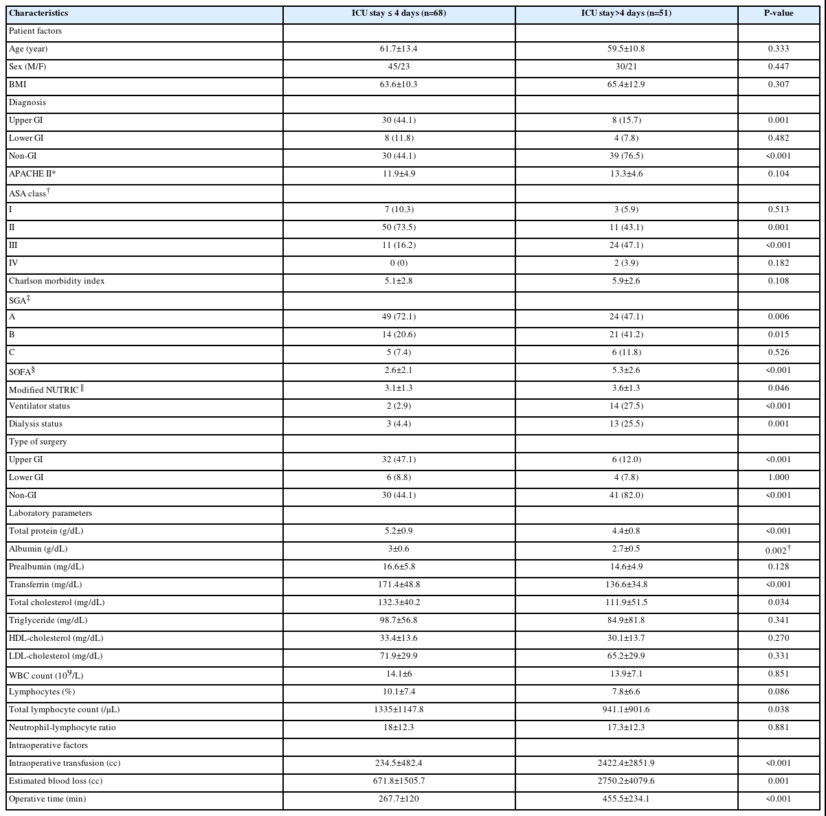
| Characteristics | ICU stay≤4 days (n=68) | ICU stay>4 days (n=51) | P-value | 
|---|---|---|---|
| Patient factors | |||
| Age (year) | 61.7±13.4 | 59.5±10.8 | 0.333 | 
| Sex (M/F) | 45/23 | 30/21 | 0.447 | 
| BMI | 63.6±10.3 | 65.4±12.9 | 0.307 | 
| Diagnosis | |||
| Upper GI | 30 (44.1) | 8 (15.7) | 0.001 | 
| Lower GI | 8 (11.8) | 4 (7.8) | 0.482 | 
| Non-GI | 30 (44.1) | 39 (76.5) | <0.001 | 
| APACHE II* | 11.9±4.9 | 13.3±4.6 | 0.104 | 
| ASA class† | |||
| I | 7 (10.3) | 3 (5.9) | 0.513 | 
| II | 50 (73.5) | 11 (43.1) | 0.001 | 
| III | 11 (16.2) | 24 (47.1) | <0.001 | 
| IV | 0 (0) | 2 (3.9) | 0.182 | 
| Charlson morbidity index | 5.1±2.8 | 5.9±2.6 | 0.108 | 
| SGA‡ | |||
| A | 49 (72.1) | 24 (47.1) | 0.006 | 
| B | 14 (20.6) | 21 (41.2) | 0.015 | 
| C | 5 (7.4) | 6 (11.8) | 0.526 | 
| SOFA§ | 2.6±2.1 | 5.3±2.6 | <0.001 | 
| Modified NUTRIC∥ | 3.1±1.3 | 3.6±1.3 | 0.046 | 
| Ventilator status | 2 (2.9) | 14 (27.5) | <0.001 | 
| Dialysis status | 3 (4.4) | 13 (25.5) | 0.001 | 
| Type of surgery | |||
| Upper GI | 32 (47.1) | 6 (12.0) | <0.001 | 
| Lower GI | 6 (8.8) | 4 (7.8) | 1.000 | 
| Non-GI | 30 (44.1) | 41 (82.0) | <0.001 | 
| Laboratory parameters | |||
| Total protein (g/dL) | 5.2±0.9 | 4.4±0.8 | <0.001 | 
| Albumin (g/dL) | 3±0.6 | 2.7±0.5 | 0.002† | 
| Prealbumin (mg/dL) | 16.6±5.8 | 14.6±4.9 | 0.128 | 
| Transferrin (mg/dL) | 171.4±48.8 | 136.6±34.8 | <0.001 | 
| Total cholesterol (mg/dL) | 132.3±40.2 | 111.9±51.5 | 0.034 | 
| Triglyceride (mg/dL) | 98.7±56.8 | 84.9±81.8 | 0.341 | 
| HDL-cholesterol (mg/dL) | 33.4±13.6 | 30.1±13.7 | 0.270 | 
| LDL-cholesterol (mg/dL) | 71.9±29.9 | 65.2±29.9 | 0.331 | 
| WBC count (109/L) | 14.1±6 | 13.9±7.1 | 0.851 | 
| Lymphocytes (%) | 10.1±7.4 | 7.8±6.6 | 0.086 | 
| Total lymphocyte count (/µL) | 1335±1147.8 | 941.1±901.6 | 0.038 | 
| Neutrophil-lymphocyte ratio | 18±12.3 | 17.3±12.3 | 0.881 | 
| Intraoperative factors | |||
| Intraoperative transfusion (cc) | 234.5±482.4 | 2422.4±2851.9 | <0.001 | 
| Estimated blood loss (cc) | 671.8±1505.7 | 2750.2±4079.6 | 0.001 | 
| Operative time (min) | 267.7±120 | 455.5±234.1 | <0.001 | 
| Variable | Odds Ratio | 95% CI | β coefficient | P-value | 
|---|---|---|---|---|
| Diagnosis (upper GI) | 0.363 | 0.093~1.420 | -1.012 | 0.145 | 
| Ventilator status | 4.464 | 0.593~33.627 | 1.496 | 0.146 | 
| Dialysis status | 7.684 | 1.038~1.103 | 2.039 | 0.013 | 
| SGA* | ||||
| A | 0.292 | 0.043~1.974 | -1.230 | 0.207 | 
| B | 0.530 | 0.069~4.045 | -0.635 | 0.540 | 
| Total lymphocyte count | 0.999 | 0.998~1.000 | -0.001 | 0.047 | 
| Intraoperative transfusion | 1.002 | 1.001~1.002 | 0.002 | <0.001 | 
Demographic characteristics and clinical features of patients (n=119)
| Variables | N (%, range) | 
|---|---|
| Demographic characteristics | |
| Age (year) | 60.7±4 | 
| Sex | |
| Male/Female | 75/44 (63.0/37.0) | 
| BMI (kg/m2) | 24.2±4 | 
| Diagnosis | |
| Upper GI | 38 (31.9) | 
| Lower GI | 12 (10.1) | 
| Non-GI | 69 (58.0) | 
|  APACHE II | 
12.5±4.9 | 
|  ASA class | 
|
| I | 10 (8.4) | 
| II | 72 (60.5) | 
| III | 35 (29.4) | 
| IV | 2 (1.7) | 
| Charlson morbidity index | 5.5±2.7 | 
|  SGA | 
|
| A | 73 (61.3) | 
| B | 35 (29.4) | 
| C | 11 (9.2) | 
|  SOFA | 
3.8±2.7 | 
|  Modified NUTRIC | 
3.3±1.3 | 
| Ventilator status | |
| No/Yes | 103/16 (86.6/13.4) | 
| Dialysis status | |
| No/Yes | 103/16 (86.6/13.4) | 
| Type of surgery | |
| Upper GI | 38 (31.9) | 
| Lower GI | 10 (8.4) | 
| Non-GI | 71 (59.7) | 
| Intraoperative variables | |
| Intraoperative transfusion (cc) | 1172.1±2181.9 | 
| Estimated blood loss (cc) | 1562.5±3067 | 
| Operative time (min) | 48.2±200.3 | 
| Laboratory variables | |
| Total protein (g/dL) | 4.9±0.9 (3~7) | 
| Albumin (g/dL) | 2.9±0.6 (2~4) | 
| Prealbumin (mg/dL) | 15.6±5.4 (7~30) | 
| Transferrin (mg/dL) | 154.8±45.9 (62~285) | 
| Total cholesterol (mg/dL) | 124.8±45.5 (27~258) | 
| Triglyceride (mg/dL) | 93.5±67.3 (12~389) | 
| HDL-cholesterol (mg/dL) | 32.13±13.7 (4~76) | 
| LDL-cholesterol (mg/dL) | 69.5±29.9 (7~158) | 
| WBC count (109/L) | 14±6.4 (2~36) | 
| Lymphocytes (%) | 9.1±7.1 (1~40) | 
| Total lymphocyte count (/μL) | 1166.2±1063.4 (79.3~7268.2) | 
| Neutrophil-lymphocyte ratio | 17.7±24.5 (1.2~218.8) | 
| Clinical outcomes | |
| Length of ICU stay (day) | 5.77±6.84 | 
| Length of hospital stay (day) | 26.35±23.00 | 
| Postoperative complication | |
| No/Yes | 77/42 (64.7/35.3) | 
| Hospital morbidity rate | |
| No/Yes | 96/23 (80.7/19.3) | 
| 28-Day hospital mortality | |
| No/Yes | 114/5 (95.8/4.2) | 
*Acute physiology and chronic health evaluation II;
†American Society of Anesthesiologists classification;
‡Subjective global assessment;
§Sequential organ failure assessment;
∥Modified nutrition risk in critically ill.
Univariate Cox proportional hazard regression analysis for prolonged ICU stay after abdominal surgery (n=119)
| Characteristics | ICU stay≤4 days (n=68) | ICU stay>4 days (n=51) | P-value | 
|---|---|---|---|
| Patient factors | |||
| Age (year) | 61.7±13.4 | 59.5±10.8 | 0.333 | 
| Sex (M/F) | 45/23 | 30/21 | 0.447 | 
| BMI | 63.6±10.3 | 65.4±12.9 | 0.307 | 
| Diagnosis | |||
| Upper GI | 30 (44.1) | 8 (15.7) | 0.001 | 
| Lower GI | 8 (11.8) | 4 (7.8) | 0.482 | 
| Non-GI | 30 (44.1) | 39 (76.5) | <0.001 | 
|  APACHE II | 
11.9±4.9 | 13.3±4.6 | 0.104 | 
|  ASA class | 
|||
| I | 7 (10.3) | 3 (5.9) | 0.513 | 
| II | 50 (73.5) | 11 (43.1) | 0.001 | 
| III | 11 (16.2) | 24 (47.1) | <0.001 | 
| IV | 0 (0) | 2 (3.9) | 0.182 | 
| Charlson morbidity index | 5.1±2.8 | 5.9±2.6 | 0.108 | 
|  SGA | 
|||
| A | 49 (72.1) | 24 (47.1) | 0.006 | 
| B | 14 (20.6) | 21 (41.2) | 0.015 | 
| C | 5 (7.4) | 6 (11.8) | 0.526 | 
|  SOFA | 
2.6±2.1 | 5.3±2.6 | <0.001 | 
|  Modified NUTRIC | 
3.1±1.3 | 3.6±1.3 | 0.046 | 
| Ventilator status | 2 (2.9) | 14 (27.5) | <0.001 | 
| Dialysis status | 3 (4.4) | 13 (25.5) | 0.001 | 
| Type of surgery | |||
| Upper GI | 32 (47.1) | 6 (12.0) | <0.001 | 
| Lower GI | 6 (8.8) | 4 (7.8) | 1.000 | 
| Non-GI | 30 (44.1) | 41 (82.0) | <0.001 | 
| Laboratory parameters | |||
| Total protein (g/dL) | 5.2±0.9 | 4.4±0.8 | <0.001 | 
| Albumin (g/dL) | 3±0.6 | 2.7±0.5 | 0.002† | 
| Prealbumin (mg/dL) | 16.6±5.8 | 14.6±4.9 | 0.128 | 
| Transferrin (mg/dL) | 171.4±48.8 | 136.6±34.8 | <0.001 | 
| Total cholesterol (mg/dL) | 132.3±40.2 | 111.9±51.5 | 0.034 | 
| Triglyceride (mg/dL) | 98.7±56.8 | 84.9±81.8 | 0.341 | 
| HDL-cholesterol (mg/dL) | 33.4±13.6 | 30.1±13.7 | 0.270 | 
| LDL-cholesterol (mg/dL) | 71.9±29.9 | 65.2±29.9 | 0.331 | 
| WBC count (109/L) | 14.1±6 | 13.9±7.1 | 0.851 | 
| Lymphocytes (%) | 10.1±7.4 | 7.8±6.6 | 0.086 | 
| Total lymphocyte count (/µL) | 1335±1147.8 | 941.1±901.6 | 0.038 | 
| Neutrophil-lymphocyte ratio | 18±12.3 | 17.3±12.3 | 0.881 | 
| Intraoperative factors | |||
| Intraoperative transfusion (cc) | 234.5±482.4 | 2422.4±2851.9 | <0.001 | 
| Estimated blood loss (cc) | 671.8±1505.7 | 2750.2±4079.6 | 0.001 | 
| Operative time (min) | 267.7±120 | 455.5±234.1 | <0.001 | 
*Acute physiology and chronic health evaluation II;
†American Society of Anesthesiologists classification;
‡Subjective global assessment;
§Sequential organ failure assessment;
∥Modified nutrition risk in critically ill.
Comparative analysis of surgical outcomes after abdominal surgery between two groups according to the length of ICU stay (n=119)
| Characteristics | ICU stay≤4 days (n=68) | ICU stay>4 days (n=51) | P-value | 
|---|---|---|---|
| Length of hospital stay (day) | 19.71±11.68 | 35.22±16.37 | <0.001 | 
| Postoperative complication | 19 (27.9) | 23 (45.1) | 0.053 | 
| Hospital morbidity rate | 8 (11.8) | 15 (29.4) | 0.016 | 
| 28-day Hospital mortality | 0 (0) | 5 (9.8) | 0.080 | 
Multivariate analysis for predisposing factors associated prolonged ICU stay after abdominal surgery
| Variable | Odds Ratio | 95% CI | β coefficient | P-value | 
|---|---|---|---|---|
| Diagnosis (upper GI) | 0.363 | 0.093~1.420 | -1.012 | 0.145 | 
| Ventilator status | 4.464 | 0.593~33.627 | 1.496 | 0.146 | 
| Dialysis status | 7.684 | 1.038~1.103 | 2.039 | 0.013 | 
| SGA | 
||||
| A | 0.292 | 0.043~1.974 | -1.230 | 0.207 | 
| B | 0.530 | 0.069~4.045 | -0.635 | 0.540 | 
| Total lymphocyte count | 0.999 | 0.998~1.000 | -0.001 | 0.047 | 
| Intraoperative transfusion | 1.002 | 1.001~1.002 | 0.002 | <0.001 | 
*Subjective global assessment.
						 Acute physiology and chronic health evaluation II; American Society of Anesthesiologists classification; Subjective global assessment; Sequential organ failure assessment; Modified nutrition risk in critically ill.
						 Acute physiology and chronic health evaluation II; American Society of Anesthesiologists classification; Subjective global assessment; Sequential organ failure assessment; Modified nutrition risk in critically ill.
						 Subjective global assessment.
