Skip Navigation
Skip to contents

Ann Clin Nutr Metab : Annals of Clinical Nutrition and Metabolism

Indexed in:
Scopus, KCI, KoreaMed
OPEN ACCESS

Articles

Page Path
HOME > Surgical Metabolism and Nutrition > Volume 10(2); 2019 > Article
ORIGINAL ARTICLE Relationship of Sarcopenia with the Outcomes of Patients who Underwent Surgery for Bile Duct Cancer
Hye Jin Kim, M.D., Min-Su Park, M.D., Ph.D., Bum-Soo Kim, M.D., Ph.D., Sang-Mok Lee, M.D., Ph.D.
담도암으로 수술을 시행한 환자에서 예후와 근감소증의 관계
김혜진, M.D., 박민수, M.D., Ph.D., 김범수, M.D., Ph.D., 이상목, M.D., Ph.D.
Surgical Metabolism and Nutrition 2019;10(2):54-58.
DOI: https://doi.org/10.18858/smn.2019.10.2.54
Published online: December 30, 2019

Department of Surgery, School of Medicine, Kyung Hee University, Seoul, Korea

Correspondence to: Min-Su Park, Department of Surgery, School of Medicine, Kyung Hee University, 23 Kyungheedae-ro, Dongdaemun-gu, Seoul 02447, Korea Tel: +82-2-958-8250, Fax: +82-2-966-9366, E-mail: ikireida@hanmail.net
• Received: August 29, 2019   • Accepted: November 5, 2019

Copyright: © The Korean Society of Surgical Metabolism and Nutrition

This is an open access article distributed under the terms of the Creative Commons Attribution Non-Commercial License (http://creativecommons.org/licenses/by-nc/4.0) which permits unrestricted non-commercial use, distribution, and reproduction in any medium, provided the original work is properly cited.

  • 1,443 Views
  • 6 Download
  • 2 Crossref
prev next
  • Purpose:
    This study investigated the impact of Sarcopenia by examining the psoas muscle on the outcomes after bile duct resection for bile duct cancer.
  • Materials and Methods:
    This study retrospectively analyzed 101 patients who underwent surgery for bile duct cancer between January 2006 and December 2015 at Kyung-Hee University Hospital. Skeletal muscle mass was evaluated by performing preoperative computed tomography to define Sarcopenia. Patients were classified into two groups by the median value of the psoas muscle index (PMI).
  • Results:
    The median value of the psoas muscle index in female patients was 463.9 mm2/m2, and the median value of the psoas muscle index in males was 688.7 mm2/m2. In the sarcopenia group, the 1, 3, and 5-year recurrence free survival rates were 74.5%, 52.9%, and 27.5%, respectively. On the other hand, in the non-sarcopenia group the 1, 3, and 5-year recurrence free survival rates were 50%, 34%, and 28%, respectively. In the sarcopenia group, the 1, 3, and 5-year overall survival rates were 84.3%, 54.9%, and 31.4%, respectively. In the non-sarcopenia group, 1, 3, and 5-year overall survival rates were 58%, 40%, and 32%, respectively. However, recurrence-free survival and overall survival were not correlated with sarcopenia (P=0.131, P=0.163).
  • Conclusion:
    Sarcopenia using the psoas muscle index (PMI) has no impact on outcomes of bile duct cancer patients who underwent surgery. (Surg Metab Nutr 2019;10:-58)
담도암은 5년 생존율이 약 20∼30%로 예후가 나쁜 암 가운데 하나이다. 담도암은 발생기전이 명확하지 않고, 예방이나 검진 방법이 없어 늦게 발견되는 경우가 많다. 수술 방법이 발전하면서 근치적 절제술이 가능한 경우가 증가하였지만 아직 4∼50%에 지나지 않으며, 수술 후 재발도 흔하다.[1] 담도암의 예후에 영향을 끼치는 인자는 수술 후 종양의 세포 분화도, 림프절 전이 유무, 절단면 침습 유무로 알려져 있다.[2]
최근 환자의 영양 상태가 암의 예후에 영향을 준다는 연구들이 발표되었다.[3] 수술 전 영양상태를 평가하는 위해서 체질량지수, 혈액검사를 통해 확인할 수 있는 알부민, 프리알부민, 림프구 수 등이 활용되고 있지만, 기존의 지표들은 환자의 상태, 수술 전 치료 방법에 따라 변동성이 크기 때문에 제한점이 많다.[4] 이를 극복하기 위해 최근 근육량을 측정하여 영양상태를 평가하는 연구들이 많이 보고되고 있다.
1989년 Irwin Rosenberg은 나이에 따라 근육량이 감소하는 근감소증의 개념을 처음으로 제시하였다.[5] 현재는 근감소증을 골격근의 질량, 강도의 점진적인 감소를 특징으로 하는 증후군으로 보고 하나의 질환으로 인식하고 있다.[6] EWGSOP (European Working Group on Sarcopenia in Older People)에서는 근육의 질량, 강도 및 신체 활동성을 측정하여 근감소증을 진단하였다.[7] 근감소증을 진단하는 3가지 요소 중 하나인 근육의 질량 측정에는 dual-energy x-ray absorptiometry (DXA),[8] computed tomography (CT), magnetic resonance imaging (MRI), and bioimpedance analysis (BIA) 등 다양한 방법이 이용되고 있다. 예전에 가장 많이 사용되던 DXA는 지방량과 지방을 제외한 질량을 측정할 수 있는 비침습적인 방법이지만, 특수한 방사선 장비가 필요하기 때문에 임상에서는 거의 사용이 불가능했다.[9] BIA는 소량의 전류에 대한 신체의 저항을 통해 체수분량을 추정하는 단순하고 비침습적인 방법이다.[10] 하지만, DXA와 BIA 모두 추가적인 기구를 통한 검사를 시행하여야 한다는 점에서 임상에서 사용하기에는 어려운 점이 많았다. 근래에 암의 예후와 근감소증의 연관성에 대한 연구가 많아지면서 임상 환경에서 CT에서 측정한 장요근 지수를 통해 손쉽게 근육량을 측정하는 방법이 각광받고 있다.
최근 많은 논문에서 다양한 암종의 예후와 근감소증의 연관관계에 주목하고 있다. 근감소증은 간암, 대장암, 췌장암 환자에서 수술 후 합병증에 부정적 영향을 미치고, 환자의 나쁜 예후와 밀접한 연관관계를 보이는 것으로 나타났다.[11-17] 하지만, van Vugt 등은 간문부 담도암에서 장요근의 질량은 생존기간과는 밀접한 연관을 보이지 않는다고 보고하였다.[18]
따라서 본 연구는 국내 단일 기관에서 담도암으로 수술받은 환자의 복부 CT를 통한 장요근 지수를 바탕으로, 근감소증과 환자의 합병증 발생, 예후와의 상관관계를 확인하고자 하였다.
1. 환자군
2006년 1월부터 2015년 12월까지 경희대학교병원 외과에서 담도암으로 수술 받은 환자를 대상으로 하였다. 전체 102명의 환자 중에서, 수술 전 복부 CT 등의 자료가 없는 1명의 환자를 제외하고 후향적 연구를 시행하였다. 모든 연구과정은 원내 생명윤리 심의위원회(Institutional Review Board, IRB Kyung-Hee hospital 2019-08-039)의 승인을 받아 진행하였다.
2. 근감소증의 진단
수술 전 시행한 복부 CT를 바탕으로 장요근의 단면적을 측정하였다. Picture Archiving and Communication System (PACS)를 이용하여, 3번 요추 상측에서 양측 장요근의 단면적을 측정하였다. 장요근 지수(Psoas Muscle Index, mm2/m2)는 양측 장요근 단면적(mm2)/환자의 키(m2)로 정의하였다(Fig. 1). 일반적으로 남자가 골격근량이 더 많기 때문에 남녀로 나누어 각각의 중위값에 따라 두 군으로 나누었다. 각각의 중위값은 여성 463.9 mm2/m2, 남성 688.7 mm2/m2이었고, 중위값보다 낮은 환자군을 근감소증군으로 정의하였다.
Fig. 1
Kaplan-Meier analysis of recurrence-free survival of patients with sarcopenia and non-sarcopenia (P=0.163).
SMN_10_054_fig_1.jpg
3. 통계 분석 방법
연속변수는 중위값과 편차로 표시되며 Student t-test로 분석하였다. 범주형 변수는 Pearson-chi test를 사용하여 비교하였다. 생존율 분석은 Kaplan-Meier과 Cox proportional hazard model을 사용하였다. 유의수준은 P<0.05로 설정하였다. 모든 통계 분석은 SPSS를 사용하였다(SPSS 23-Statistical Package for Social Science, version 23.0, IBM Corporation, Chicago, IL, USA).
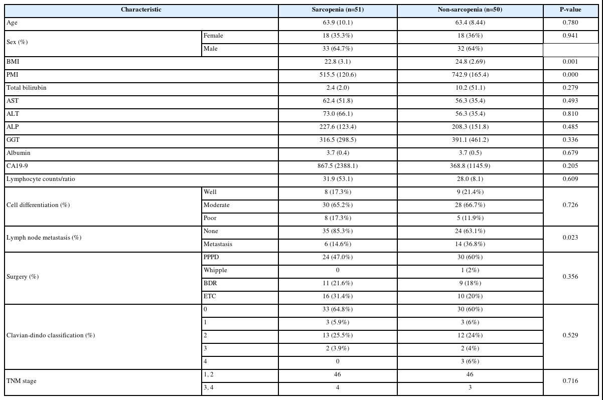
총 101명의 환자를 남녀 각각의 장요근지수 중위값에 따라 근감소군과 비-근감소군으로 나누었다. 근감소군은 51명, 비-근감소군은 50명이었고, 평균 나이는 63.9세, 63.4세였다. 근감소군에서 남성의 비율은 64.7%, 비-근감소군에서 남성의 비율은 64%였다. 수술 전 간기능 검사, CA 19-9, 세포 분화도, TNM stage, 림프절 전이 양상 등은 두 군 간 차이가 없었다. 기존에 사용되던 영양 지표인 알부민, 림프구수는 근감소군과 비-근감소군에서 차이를 보이지 않았으나 체질량 지수는 근감소군에서 평균 22.8 kg/m2 비-근감소군에서 24.8 kg/m2 (P<0.001)으로 차이를 보였다(Table 1).
Clavian-Dindo classification에 따른 이환율은 전체의 37.6% (n=38)이었다. 근감소군에서 이환율은 35.3% (n=18), 비-근감소군에서 이환율은 40% (n=20)였고, 두 군 간 이환율에는 통계적으로 유의한 차이는 없었다(P=0.529). 전체 군에서 Clavian- Dindo classification도 3, 4에 해당하는 주요 합병증 발생 비율은 6.9% (n=7)였고, 근감소군에서는 3.9% (n=2), 비-근감소군에서는 10% (n=5)였다. 주요 합병증은 양 군 간 통계적으로 의미있는 차이를 보이지 않았다(P=0.229).
근감소군에서 1, 3, 5년 무재발생존율은 각각 74.5%, 52.9%, 27.5%였고, 비-근감소군에서는 50%, 34%, 28%였다. 수술 후 두 군간 무재발 생존율은 통계적으로 의미 있는 차이를 보이지 않았다(P=0.163) (Fig. 1). 근감소군에서 1, 3, 5년 환자 생존율은 각각 84.3%, 54.9%, 31.4%였고, 비-근감소군에서는 58%, 40%, 32%였다. 수술 후 두 군간 생존율도 통계적으로 의미 있는 차이를 보이지 않았다(P=0.131) (Fig. 2). 다변량 분석에서도 근감소는 생존율 및 무재발 생존율의 의미 있는 위험인자가 아닌 것으로 나타났다.
Table 1
Characteristics of patients included in the study
Characteristic Sarcopenia (n=51) Non-sarcopenia (n=50) P-value
Age 63.9 (10.1) 63.4 (8.44) 0.780
Sex (%) Female 18 (35.3%) 18 (36%) 0.941
Male 33 (64.7%) 32 (64%)
BMI 22.8 (3.1) 24.8 (2.69) 0.001
PMI 515.5 (120.6) 742.9 (165.4) 0.000
Total bilirubin 2.4 (2.0) 10.2 (51.1) 0.279
AST 62.4 (51.8) 56.3 (35.4) 0.493
ALT 73.0 (66.1) 56.3 (35.4) 0.810
ALP 227.6 (123.4) 208.3 (151.8) 0.485
GGT 316.5 (298.5) 391.1 (461.2) 0.336
Albumin 3.7 (0.4) 3.7 (0.5) 0.679
CA19-9 867.5 (2388.1) 368.8 (1145.9) 0.205
Lymphocyte counts/ratio 31.9 (53.1) 28.0 (8.1) 0.609
Cell differentiation (%) Well 8 (17.3%) 9 (21.4%) 0.726
Moderate 30 (65.2%) 28 (66.7%)
Poor 8 (17.3%) 5 (11.9%)
Lymph node metastasis (%) None 35 (85.3%) 24 (63.1%) 0.023
Metastasis 6 (14.6%) 14 (36.8%)
Surgery (%) PPPD 24 (47.0%) 30 (60%) 0.356
Whipple 0 1 (2%)
BDR 11 (21.6%) 9 (18%)
ETC 16 (31.4%) 10 (20%)
Clavian-dindo classification (%) 0 33 (64.8%) 30 (60%) 0.529
1 3 (5.9%) 3 (6%)
2 13 (25.5%) 12 (24%)
3 2 (3.9%) 2 (4%)
4 0 3 (6%)
TNM stage 1, 2 46 46 0.716
3, 4 4 3

BMI = Body Mass Index; PMI = Psoas Muscle Index; PPPD = Pylorus Preserving PancreatoDuodenectomy; BDR = Bile Duct Resection.

Fig. 2
Kaplan-Meier analysis of overall survival of patients with sarcopenia and non-sarcopenia (P=0.131).
SMN_10_054_fig_2.jpg
저자들은 본 연구에서 담도암의 예후인자로서 근감소증의 유효성을 규명하고자 하였다. 하지만, CT에서 측정한 장요근지수를 바탕으로, 근감소증과 환자의 합병증 발생, 예후와의 상관관계를 확인한 결과, 근감소증은 담도암 환자의 이환율, 생존율 및 무재발 생존율에 유의한 영향을 주지 않았다.
담도암은 예후가 나쁜 암 중 하나로 병리 결과를 통한 방법을 제외하고는 각 환자의 예후를 평가하기 어렵다. 환자의 수술 전 영양 상태는 수술 후 합병증이나 예후에 영향을 미치는 중요한 요소로 생각되고 있으며, 그 지표로서 근감소증의 임상적 유용성이 새롭게 대두되었다. 특히, CT는 암환자에서 수술 전 필수 검사로 사용되고 있고, 추가적인 비용을 들이지 않고 손쉽게 환자의 골격근 양을 측정할 수 있기 때문에 각광받고 있다.
최근 CT를 통해 근감소증이 암환자에서 가지는 임상적 유용성을 규명하는 연구들이 많다. Kobayashi 등은 CT상 배꼽위치에서 측정한 골격근과 지방의 양을 측정하여 근감소증과 비만도를 평가하여, 간세포암으로 간 절제를 받은 환자 중 비만한 근감소증 군에서 재발과 사망위험이 높다고 보고하였다.[12] 여러 연구에서 복부 CT 상 3번 요추부의 전체 골격근 단면적을 통해 근감소증을 진단하고, 근감소증이 대장암 환자에서 수술 후 패혈증 발생을 비롯한 합병증을 예측하는 독립적인 인자임을 보고하였다.[13,14] 특히 3번 요추 높이에서 측정한 장요근은 총 골격근 양과 비례하고, 지방 또한 총 지방 양과 비례하기 때문에 환자의 체중에 상관없이 예후를 예측할 수 있다고 하였다.[19] 3번 요추에서 측정한 장요근 지수를 통해 근감소증과 암의 예후에 대한 연구들도 보고되었다. El Amrani 등은 근감소증이 췌장암으로 수술 받는 환자에서 수술 후 췌장 누공 및 중증 이환율의 비율을 높이며, 사망위험을 증가시키는 경향을 보인다는 것을 보고하였다.[15] 또한, Nagata 등은 대장암 4기 환자에서 근감소증이 독립적인 예후인자로 작용한다고 하였다.[16]
본 연구에서는 CT상 3번 요추부의 장요근을 측정하여 근감소증을 진단하였다. 하지만, 아직 근감소증으로 판단이 되는 명확한 기준이 없는 것이 현실이다. Nagata 등은 장요근지수 550 mm2/m2를 그 기준으로 하여 대장암에서 근감소증이 생존율을 감소시킨다고 하였다.[16] Ishii 등은 성별에 따른 장요근지수의 중위값을 그 기준으로 하여 절제 불가능한 췌장암 환자에서 항암 치료 시행 시 근감소증 환자에서 유의하게 낮은 생존율을 보고하였다.[17] 본 연구에서는 R통계를 이용하여 장요근지수와 생존의 유의한 상관관계를 보이는 절단 값을 측정하였으나, 의미를 가지는 값이 없는 것으로 나타났다. 따라서 Ishii 등이 발표한 논문에서처럼 중위값을 사용하여 근감소증과 환자 예후와의 관련성을 분석하였다.[17] 향후 장요근지수의 기준을 판단하는 연구가 더 필요할 것으로 사료된다. 또한, 우리 나라 사람들은 서구에 비해 상대적으로 마른 체형을 가지고 있기 때문에 그 기준도 다르게 필요할 것으로 생각된다.
최근 van Vugt 등은 간문부 담도암에서 장요근지수와 생존율에 관련된 연구를 발표하였다. 근감소증 환자에서 평균생존기간과는 밀접한 연관을 보이지는 않았으나, 수술 후 6개월후까지의 생존은 근감소증을 보이는 환자에서 생존기간이 더 나쁘다는 결과를 보여주였다(P=0.04).[18] 하지만 본 연구에서는 근감소증은 담도암 환자의 수술 후 이환율에 영향을 주는 독립적 인자가 아닌 것으로 나타났다. 폐렴, 출혈, 문합부 누출 등의 이환율은 비근감소군에서 더 높은 경향을 보였지만, 통계적으로 유의한 차이는 보이지 않았다. 또한 근감소증은 수술을 시행한 담도암 환자에서 생존기간 및 무재발 생존기간에도 유의한 영향을 주지 않는 것으로 나타났다.
이 연구에는 몇 가지 제한점이 있다. 첫번째로 단일센터에서 장기간에 걸쳐 적은 수의 환자를 추적관찰 하였다. 따라서, 환자 간의 수술 받은 시기가 최대 9년까지 차이가 있고, 수술의가 여러 명으로 이에 따른 예후의 차이를 보일 가능성도 있을 수 있다. 두번째로 환자의 기저질환에 대한 정보가 부족했다. 합병증, 생존률에 영향을 끼칠 수 있는 심질환, 폐질환, 신질환, 내분비질환에 대한 정보가 부족하였다. 특히, 신질환 환자에서는 상대적으로 근육량이 적기 때문에 이에 대한 고려가 필요할 것으로 생각된다. 셋째로 영양상태를 관찰하는 것에는 혈액검사, 근육량 평가, 신체활동능력 평가 등 다양한 지표가 있는데, 이 연구는 후향적 연구이기 때문에 측정가능 지표가 있는 근육량만을 대상으로 하였다. European Working Group on Sarcopenia in Older People에서 발표한 논문은 근감소증을 진단할 때 크게 근육의 질량, 근력, 신체활동능력 저하 3가지 요소를 고려하였다.[7] 또한 최근에는 근육량뿐만 아니라 비만도를 함께 고려하여 측정하는 방법들도 제시되고 있다. 근감소증의 평가지표 중 근육량만을 사용했기 때문에 이후 전향적으로 비만도와 신체 활동 능력 평가를 포함한 다양한 영양상태 지표를 활용한 대규모의 연구가 필요할 것으로 보인다.
담도암으로 수술을 받은 환자에서 CT를 이용하여 측정한 장요근지수(PMI)와 이환율, 생존율과의 연관성은 이 연구에서는 관찰되지 않았다. 향후 근육의 질량, 강도 및 신체 활동성을 통해 근감소증을 진단하고, 예후 인자로서 의미를 가지는지에 대한 추가적인 연구가 필요하다.
  • 1. Jang JY, Kim SW, Park DJ, Ahn YJ, Yoon YS, Choi MG, et al. Actual long-term outcome of extrahepatic bile duct cancer after surgical resection. Ann Surg 2005;241:77-84. ArticlePubMedPMC
  • 2. Bhuiya MR, Nimura Y, Kamiya J, Kondo S, Fukata S, Hayakawa N, et al. Clinicopathologic studies on perineural invasion of bile duct carcinoma. Ann Surg 1992;215:344-9. ArticlePubMedPMC
  • 3. Dempsey DT, Mullen JL, Buzby GP. The link between nutritional status and clinical outcome:can nutritional intervention modify it? Am J Clin Nutr 1988;47(2 Suppl):352-6. ArticlePubMed
  • 4. Bharadwaj S, Ginoya S, Tandon P, Gohel TD, Guirguis J, Vallabh H, et al. Malnutrition:laboratory markers vs nutritional assessment. Gastroenterol Rep (Oxf) 2016;4:272-80. ArticlePubMedPMC
  • 5. Correa-de-Araujo R, Hadley E. Skeletal muscle function deficit:a new terminology to embrace the evolving concepts of sarcopenia and age-related muscle dysfunction. J Gerontol A Biol Sci Med Sci 2014;69:591-4. ArticlePubMedPMC
  • 6. Vellas B, Fielding RA, Bens C, Bernabei R, Cawthon PM, Cederholm T, et al. Implications of ICD-10 for sarcopenia clinical practice and clinical trials:report by the International Conference on Frailty and Sarcopenia Research Task Force. J Frailty Aging 2018;7:2-9. ArticlePubMed
  • 7. Cruz-Jentoft AJ, Bahat G, Bauer J, Boirie Y, Bruyère O, Cederholm T. Writing Group for the European Working Group on Sarcopenia in Older People 2 (EWGSOP2), and the Extended Group for EWGSOP2. Sarcopenia:revised European consensus on definition and diagnosis. Age Ageing 2019;48:16-31. ArticlePubMedPMCPDF
  • 8. Andreoli A, Scalzo G, Masala S, Tarantino U, Guglielmi G. Body composition assessment by dual-energy X-ray absorptiometry (DXA). Radiol Med 2009;114:286-300. ArticlePubMedPDF
  • 9. Achamrah N, Colange G, Delay J, Rimbert A, Folope V, Petit A, et al. Comparison of body composition assessment by DXA and BIA according to the body mass index:a retrospective study on 3655 measures. PLoS One 2018;13:e0200465.ArticlePubMedPMC
  • 10. Lee SY, Gallagher D. Assessment methods in human body composition. Curr Opin Clin Nutr Metab Care 2008;11:566-72. ArticlePubMedPMC
  • 11. Otsuji H, Yokoyama Y, Ebata T, Igami T, Sugawara G, Mizuno T, et al. Preoperative sarcopenia negatively impacts postoperative outcomes following major hepatectomy with extrahepatic bile duct resection. World J Surg 2015;39:1494-500. ArticlePubMedPDF
  • 12. Kobayashi A, Kaido T, Hamaguchi Y, Okumura S, Shirai H, Yao S, et al. Impact of sarcopenic obesity on outcomes in patients undergoing hepatectomy for hepatocellular carcinoma. Ann Surg 2019;269:924-31. ArticlePubMed
  • 13. Reisinger KW, van Vugt JL, Tegels JJ, Snijders C, Hulsewé KW, Hoofwijk AG, et al. Functional compromise reflected by sarcopenia, frailty, and nutritional depletion predicts adverse postoperative outcome after colorectal cancer surgery. Ann Surg 2015;261:345-52. ArticlePubMed
  • 14. Huang DD, Wang SL, Zhuang CL, Zheng BS, Lu JX, Chen FF, et al. Sarcopenia, as defined by low muscle mass, strength and physical performance, predicts complications after surgery for colorectal cancer. Colorectal Dis 2015;17:O256-64. ArticlePubMed
  • 15. El Amrani M, Vermersch M, Fulbert M, Prodeau M, Lecolle K, Hebbar M, et al. Impact of sarcopenia on outcomes of patients undergoing pancreatectomy:a retrospective analysis of 107 patients. Medicine (Baltimore) 2018;97:e12076.PubMedPMC
  • 16. Nagata T, Nakase Y, Nakamura K, Sougawa A, Mochiduki S, Kitai S, et al. Prognostic impact of a nutritional index including muscle volume in stage 4 colorectal cancer. In Vivo 2016;30:885-91. ArticlePubMed
  • 17. Ishii N, Iwata Y, Nishikawa H, Enomoto H, Aizawa N, Ishii A, et al. Effect of pretreatment psoas muscle mass on survival for patients with unresectable pancreatic cancer undergoing systemic chemotherapy. Oncol Lett 2017;14:6059-65. ArticlePubMedPMC
  • 18. van Vugt JLA, Gaspersz MP, Vugts J, Buettner S, Levolger S, de Bruin RWF, et al. Low skeletal muscle density is associated with early death in patients with perihilar cholangiocarcinoma regardless of subsequent treatment. Dig Surg 2019;36:144-52. ArticlePubMedPDF
  • 19. Schweitzer L, Geisler C, Pourhassan M, Braun W, Glüer CC, Bosy-Westphal A, et al. What is the best reference site for a single MRI slice to assess whole-body skeletal muscle and adipose tissue volumes in healthy adults? Am J Clin Nutr 2015;102:58-65. ArticlePubMed

Figure & Data

REFERENCES

    Citations

    Citations to this article as recorded by  
    • Prognostic significance of psoas muscle index at diagnosis in cervical cancer progression
      Seon-Mi Lee, Hyunkyoung Seo, Seongmin Kim, Hyun-Woong Cho, Kyung-Jin Min, Sanghoon Lee, Jin-Hwa Hong, Jae-Yun Song, Jae-Kwan Lee, Nak-Woo Lee
      Journal of Gynecologic Oncology.2026;[Epub]     CrossRef
    • Sarcopenia increases the risk of major organ or vessel invasion in patients with papillary thyroid cancer
      Ja Kyung Yoon, Jung Hyun Yoon, Vivian Youngjean Park, Minah Lee, Jin Young Kwak
      Scientific Reports.2022;[Epub]     CrossRef

    • Cite
      CITE
      export Copy Download
      Close
      Download Citation
      Download a citation file in RIS format that can be imported by all major citation management software, including EndNote, ProCite, RefWorks, and Reference Manager.

      Format:
      • RIS — For EndNote, ProCite, RefWorks, and most other reference management software
      • BibTeX — For JabRef, BibDesk, and other BibTeX-specific software
      Include:
      • Citation for the content below
      Relationship of Sarcopenia with the Outcomes of Patients who Underwent Surgery for Bile Duct Cancer
      Ann Clin Nutr Metab. 2019;10(2):54-58.   Published online December 30, 2019
      Close
    • XML DownloadXML Download
    Figure
    • 0
    • 1
    Relationship of Sarcopenia with the Outcomes of Patients who Underwent Surgery for Bile Duct Cancer
    Image Image
    Fig. 1 Kaplan-Meier analysis of recurrence-free survival of patients with sarcopenia and non-sarcopenia (P=0.163).
    Fig. 2 Kaplan-Meier analysis of overall survival of patients with sarcopenia and non-sarcopenia (P=0.131).
    Relationship of Sarcopenia with the Outcomes of Patients who Underwent Surgery for Bile Duct Cancer

    Characteristics of patients included in the study

    Characteristic Sarcopenia (n=51) Non-sarcopenia (n=50) P-value
    Age 63.9 (10.1) 63.4 (8.44) 0.780
    Sex (%) Female 18 (35.3%) 18 (36%) 0.941
    Male 33 (64.7%) 32 (64%)
    BMI 22.8 (3.1) 24.8 (2.69) 0.001
    PMI 515.5 (120.6) 742.9 (165.4) 0.000
    Total bilirubin 2.4 (2.0) 10.2 (51.1) 0.279
    AST 62.4 (51.8) 56.3 (35.4) 0.493
    ALT 73.0 (66.1) 56.3 (35.4) 0.810
    ALP 227.6 (123.4) 208.3 (151.8) 0.485
    GGT 316.5 (298.5) 391.1 (461.2) 0.336
    Albumin 3.7 (0.4) 3.7 (0.5) 0.679
    CA19-9 867.5 (2388.1) 368.8 (1145.9) 0.205
    Lymphocyte counts/ratio 31.9 (53.1) 28.0 (8.1) 0.609
    Cell differentiation (%) Well 8 (17.3%) 9 (21.4%) 0.726
    Moderate 30 (65.2%) 28 (66.7%)
    Poor 8 (17.3%) 5 (11.9%)
    Lymph node metastasis (%) None 35 (85.3%) 24 (63.1%) 0.023
    Metastasis 6 (14.6%) 14 (36.8%)
    Surgery (%) PPPD 24 (47.0%) 30 (60%) 0.356
    Whipple 0 1 (2%)
    BDR 11 (21.6%) 9 (18%)
    ETC 16 (31.4%) 10 (20%)
    Clavian-dindo classification (%) 0 33 (64.8%) 30 (60%) 0.529
    1 3 (5.9%) 3 (6%)
    2 13 (25.5%) 12 (24%)
    3 2 (3.9%) 2 (4%)
    4 0 3 (6%)
    TNM stage 1, 2 46 46 0.716
    3, 4 4 3

    BMI = Body Mass Index; PMI = Psoas Muscle Index; PPPD = Pylorus Preserving PancreatoDuodenectomy; BDR = Bile Duct Resection.

    Table 1 Characteristics of patients included in the study

    BMI = Body Mass Index; PMI = Psoas Muscle Index; PPPD = Pylorus Preserving PancreatoDuodenectomy; BDR = Bile Duct Resection.


    Ann Clin Nutr Metab : Annals of Clinical Nutrition and Metabolism
    Close layer
    TOP